In the next section, we will briefly introduce a few types of machine learning models that are often used for supervised learning tasks.
We will discuss some basic intuition around how they work, and also discuss their relative strengths and shortcomings.
We have seen that decision trees are prone to overfitting. There are several models that extend the basic idea of using decision trees.
Train an ensemble of distinct decision trees.
Each tree trains on a random sample of the data. Some times the features used to split are also randomized at each node.
Idea: Individual trees still learn noise in the data, but the noise should “average out” over the ensemble.
Each tree tries to “correct” or improve the previous tree’s prediction.
Random Forest, XGBoost, etc are all easily available as “out-of-the box solutions”.
Pros:
Cons:
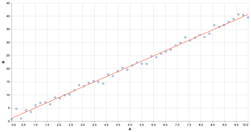
Many of you might be familiar with least-squares regression. We find the line of best fit by minimizing the ‘squared error’ of the predictions.

Squared Error is very sensitive to outliers. Far-away points contribute a very large squared error, and even relatively few points can affect the outcome.

We can use other notions of “best fit”. Using absolute error makes the model more resistant to outliers!
We can also build linear models for classification tasks. The idea is to convert the output from an arbitrary number to a number between 0 and 1, and treat it like a “probability”.
In logistic regression, we squash the output using the sigmoid function and then adjust parameters (in training) to find the choice that makes the data “most likely”.
Can you guess what this dataset is?
Logistic Regression predicts a linear decision boundary.
Let us attempt to use logistic regression to do sentiment analysis on a database of IMDB reviews. The database is available here.
| review | label | |
|---|---|---|
| 0 | One of the other reviewers has mentioned that ... | positive |
| 1 | A wonderful little production. <br /><br />The... | positive |
| 2 | I thought this was a wonderful way to spend ti... | positive |
| 3 | Basically there's a family where a little boy ... | negative |
| 4 | Petter Mattei's "Love in the Time of Money" is... | positive |
We will use only about 10% of the dataset for training (to speed things up)
To create features that logistic regression can use, we will represent these reviews via a “bag of words” strategy.
We create a new feature for every word that appears in the dataset. Then, if a review contains that word exactly once, the corresponding feature gets a value of 1 for that review. If the word appears four times, the feature gets a value of 4. If the word is not present, it’s marked as 0.
Notice that the result is a sparse matrix. Most reviews contain only a small number of words.
<Compressed Sparse Row sparse matrix of dtype 'int64'
with 439384 stored elements and shape (5000, 38867)>
There are a total of 38867 “words” among the reviews. Here are some of them:
array(['00', 'affection', 'apprehensive', 'barbara', 'blore',
'businessman', 'chatterjee', 'commanding', 'cramped', 'defining',
'displaced', 'edie', 'evolving', 'fingertips', 'gaffers',
'gravitas', 'heist', 'iliad', 'investment', 'kidnappee',
'licentious', 'malã', 'mice', 'museum', 'obsessiveness',
'parapsychologist', 'plasters', 'property', 'reclined',
'ridiculous', 'sayid', 'shivers', 'sohail', 'stomaches', 'syrupy',
'tolerance', 'unbidden', 'verneuil', 'wilcox'], dtype=object)
Let us see how many reviews are positive, and how many are negative.
The dataset looks pretty balanced, so a classifier predicting at random would at best guess about 50% correctly.
We will not train our model.
Let’s see how the model performs after training.
| fit_time | score_time | test_score | train_score | |
|---|---|---|---|---|
| 0 | 0.411476 | 0.058247 | 0.828 | 0.99975 |
| 1 | 0.407961 | 0.059842 | 0.830 | 0.99975 |
| 2 | 0.422086 | 0.058663 | 0.848 | 0.99975 |
| 3 | 0.408087 | 0.057880 | 0.833 | 1.00000 |
| 4 | 0.397947 | 0.059378 | 0.840 | 0.99975 |
We’re able to predict with roughly 84% accuracy on validation sets. Looks like our model learned something!
However, the training scores are perfect (and higher than validation scores) so our model is likely overfitting.
Maybe it just memorized some rare words, each appearing only in one review, and associated these with the review’s label. We could try reducing the size of our dictionary to prevent this.
There are many tools available to automate the search for good hyperparameters. These can make our life easy, but there is always the danger of optimization bias in the results.
Let’s see what associations our model learned.
| Coefficient | |
|---|---|
| excellent | 0.792911 |
| perfect | 0.608851 |
| amazing | 0.602716 |
| wonderful | 0.564188 |
| surprised | 0.536449 |
| ... | ... |
| waste | -0.669122 |
| terrible | -0.697831 |
| boring | -0.709981 |
| awful | -0.870623 |
| worst | -1.117365 |
5775 rows × 1 columns
They make sense! Let’s visualize the 20 most important features.

Finally, let’s try predicting on some new examples.
['It got a bit boring at times but the direction was excellent and the acting was flawless. Overall I enjoyed the movie and I highly recommend it!',
'The plot was shallower than a kiddie pool in a drought, but hey, at least we now know emojis should stick to texting and avoid the big screen.']
Here are the model predictions:
array(['positive', 'negative'], dtype=object)
Let’s see which vocabulary words were present in the first review, and how they contributed to the classification.
It got a bit boring at times but the direction was excellent and the acting was flawless. Overall I enjoyed the movie and I highly recommend it!

The bag-of-words representation was very simple– we only counted which words appeared in which reviews. There was no attempt to maintain syntactical or grammatical structure or to study correlations between words.
We also trained on just 5000 examples. Nevertheless, our model performs quite well.
Pros:
Cons:
Returning to our older dataset.
How would you classify the green dot?
Idea: predict on new data based on “similar” examples in the training data.
Find the K nearest neighbours of an example, and predict whichever class was most common among them.
‘K’ is a hyperparameter. Choosing K=1 is likely to overfit. If the dataset has N examples, setting K=N just predicts the mode (dummy classifier).
No training phase, but the model can get arbitrarily large (and take very long to make predictions).
Another ‘analogy-based’ classification method.
The model stores examples with positive and negative weights. Being close to a positive example makes your label more likely to be positive.
Can lead to “smoother” decision boundaries than K-NNs, and potentially to a smaller trained model.

Pros:
Cons:
Support Vector Machines (SVM) are also linear classifiers.
The reason we see a non-linear decision boundary is the use of the RBF kernel, which applies a certain non-linear transformation to the features.
Even if our data is not linearly separable, there could be a good choice of feature transform out there that makes it linearly separable.
Wouldn’t it be nice if we could train a machine learning model to find such a transform?